Membuat surat pensiun menjadi langkah penting bagi Anda yang sedang mempersiapkan masa pensiun.
Membuat surat ini memang tampak sederhana, namun masih banyak orang yang belum memahami cara membuat surat pensiun ini dengan tepat.
Padahal ketika terjadi kesalahan dalam format surat ini dapat menimbulkan sikap kurang sopan dan dapat menghambat proses administrasi pensiun.
Jadi penting bagi Anda untuk membuat surat ini secara tepat , yakni dengan mengikuti struktur yang ada, penggunaan gaya bahasa yang sopan, hingga terkait informasi yang dilampirkan bersamaan dengan surat.
Pada artikel ini GajiHub akan menjelaskan secara lengkap mengenai surat pensiun mulai dari pengertiannya, fungsi, cara membuat, dan contohnya.
Untuk lebih lengkapnya Anda dapat menyimak penjelasan yang ada di bawah ini:
Apa yang Dimaksud dengan Surat Pensiun?

Surat pensiun adalah surat resmi yang memberitahukan kepada atasan Anda tentang niat Anda untuk pensiun.
Surat ini mirip dengan surat pengunduran diri, yang memberitahukan kepada atasan Anda bahwa Anda akan meninggalkan pekerjaan Anda.
Perbedaan utama antara surat pengunduran diri dan surat pemberitahuan pensiun adalah bahwa Anda tidak hanya meninggalkan perusahaan tetapi juga mengajukan permohonan manfaat pensiun.
Surat pensiun biasanya digunakan bersamaan dengan pemberitahuan lisan kepada atasan langsung Anda.
Di sini Anda juga bisa menjadwalkan pertemuan untuk membahas rencana pensiun Anda sebelum mengirimkan surat pensiun.
Surat ini disimpan dalam berkas karyawan Anda bersama dokumen penting lainnya, seperti kontrak kerja dan penilaian kinerja.
Dengan mengajukannya secara resmi, maka dapat membantu karyawan untuk mendapatkan hak mereka, yakni uang pensiun sesuai dengan kebijakan internal perusahaan dan regulasi ketenagakerjaan.
Jadi penting bagi setiap karyawan untuk mengetahui format dan isi dari surat ini agar lebih mudah dalam mengurus administrasi tanpa adanya hambatan.

Baca Juga: Contoh Ucapan Perpisahan Kerja dan Tips Membuatnya
Apa Fungsi dari Surat Pensiun?

Ketika seorang karyawan mendekati masa pensiun, maka perusahaan dan karyawan yang bersangkutan dapat mengajukannya dan surat pensiun menjadi salah satu surat yang wajib disiapkan.
Surat ini tidak hanya penting bagi karyawan, tetapi juga bagi perusahaan.
Bagi perusahaan, surat ini digunakan sebagai tanda bahwa karyawan yang bersangkutan resmi berhenti bekerja dari perusahaan.
Dengan adanya surat ini, perusahaan dapat menyiapkan berbagai hal untuk mencari pengganti posisi kosong dari karyawan tersebut.
Sedangkan bagi karyawan, surat ini menjadi dasar agar karyawan bisa mendapatkan hak-hak dan manfaat, misalnya uang pensiun yang seharusnya diterima ketika karyawan pensiun.
Dengan uang ini, nantinya karyawan dapat menggunakannya untuk memenuhi kebutuhan di masa tua, di mana di masa ini sudah tidak bekerja dan tidak mendapatkan pemasukan.
Baca Juga: Pensiun Dini: Bagaimana Aturan dan Syaratnya
Bagaimana Cara Membuat Surat Pensiun?

Ikuti langkah-langkah berikut untuk membuat surat pensiun yang efektif dengan semua detail penting:
1. Tulis Alamat secara Tepat
Alamatkan surat pensiun Anda kepada atasan Anda.
Kirim salinan utama kepada orang ini dan salin ke departemen sumber daya manusia (SDM).
Departemen SDM dapat menangani asuransi kesehatan, pensiun, dan hak-hak lainnya, jadi penting untuk melibatkan mereka dalam pemberitahuan ini.
Baca Juga: Email Perpisahan Kerja: Manfaat, Contoh, dan Tips Membuatnya
2. Tentukan Tanggal Pensiun Anda
Sertakan tanggal pensiun Anda di bagian atas surat agar informasi penting ini mudah ditemukan.
Berikan pemberitahuan minimal dua minggu kepada pemberi kerja.
Karyawan dengan masa kerja lama di perusahaan biasanya memberikan pemberitahuan sebulan atau lebih.
Anda dapat membahas tanggal terbaik untuk pensiun saat bertemu dengan atasan Anda untuk membahas rencana Anda.
Dalam hal ini, surat pensiun Anda hanya mengulang tanggal yang telah disepakati.
3. Ungkapkan Terima Kasih atas Pengalaman Anda
Ucapkan terima kasih kepada atasan Anda atas kesempatan bekerja bersama mereka dan sebutkan rasa syukur Anda atas pengalaman yang Anda dapatkan di perusahaan.
Berikan contoh spesifik tentang orang atau proyek yang berarti bagi Anda.
Baca Juga: Contoh Surat PHK dan Cara Membuatnya
4. Tawarkan Bantuan untuk Transisi
Tawarkan bantuan untuk merekrut atau melatih pengganti Anda jika diperlukan.
Hal ini terutama penting jika peran Anda kompleks atau Anda meninggalkan proyek besar yang belum selesai.
Anda juga dapat merekomendasikan rekan kerja sebagai pengganti Anda atau menyarankan untuk menyerahkan proyek tertentu kepada orang lain yang familiar dengan pekerjaan tersebut.
5. Tunjukkan Dukungan pada Perusaaan
Jika Anda ingin bekerja sebagai konsultan atau freelancer selama pensiun, beritahu atasan Anda.
Hal ini dapat memastikan bahwa Anda menjadi salah satu orang pertama yang dipertimbangkan jika atasan Anda membutuhkan layanan semacam itu.
Dengan cara ini juga Anda bisa menjaga komunikasi dan hubungan yang baik dengan perusahaan di masa depan.
Baca Juga: Aturan Usia Pensiun Menurut UU Ketenagakerjaan
6. Jelaskan Kebutuhan Anda Terkait Pensiun
Keenam, jelaskan kebutuhan Anda yang berkaitan dengan pensiun.
Spesifikasikan manfaat yang Anda inginkan selama pensiun.
Beritahu atasan Anda apa yang Anda butuhkan dari mereka terkait asuransi kesehatan, rencana pensiun, atau tunjangan pensiun.
Sebutkan jika Anda memiliki cuti atau hari sakit yang belum digunakan dan berhak atas kompensasi.
Jika Anda tidak dibayar melalui transfer bank, Anda juga dapat menentukan kapan dan bagaimana Anda akan menerima gaji terakhir Anda.
7. Tambahkan Kontak Pribadi
Terakhir adalah dengan menambahkan kontak pribadi Anda.
Cara ini dilakukan agar Anda tetap dapat berhubungan baik dengan perusahaan meski Anda telah pensiun.
Menambahkan kontak pribadi juga menunjukkan bahwa karyawan masih ingin komunikasi berjalan seperti biasanya dan dapat menjaga reputasi yang baik.
Baca Juga: Dana Pensiun Karyawan: Arti, Aturan, Manfaat, dan Jenisnya
Apa Saja Struktur dalam Surat Pensiun?

Agar Anda dapat membuat surat ini secara tepat, berikut struktur yang penting untuk Anda pahami:
1. Kop Surat dan Judul
Kop surat dan judul menjadi bagian penting untuk surat resmi termasuk untuk surat pensiun ini.
Kop surat ini berisi identitas resmi dari perusahaan, yakni nama lembaga, alamat, nomor telepon, hingga logi.
Sedangkan judul ditulis secara singkat, misalnya”Surat Keterangan Pensiun” atau “Surat Pernyataan Pensiun”.
2. Nomor dan Tanggal Surat
Komponen kedua adalah nomor dan tanggal surat.
Dari nomor ini dapat membantu untuk proses pengarsipan, sedangkan tanggal memberikan kejelasan periode berlakunya dokumen.
Baca Juga: Exit Clearance: Pengertian, Prosedur, dan Contohnya
3. Identitas Penerbit Surat
Ketiga adalah identitas penerbit surat.
Ini bisa berisi nama, jabaran, dan unit kerja dari pihak yang mengeluarkan surat, yakni HR atau dari atasan langsung.
Bagian ini bertujuan untuk menunjukkan otoritas yang bertanggung jawab terhadap isi surat.
4. Identitas Karyawan
Keempat adalah identitas karyawan, di mana berisi nama, NIP/ID karyawan, jabatan, dan juga alamat.
Untuk menghindari ambiguitas, identitas ini dapat ditulis secara lengkap.
5. Pernyataan Pensiun
Pernyataan pensiun ditulis untuk menjelaskan bahwa karyawan yang bersangkutan telah resmi memasuki masa pensiun, lengkap dengan tanggal efektif pensiun dan ketentuan lainnya.
Pastikan juga kalimat yang digunakan jelas, formal, dan mudah untuk dipahami.
Baca Juga: Contoh Surat Kuasa, Fungsi dan Juga Komponennya
6. Penutup
Komponen berikutnya adalah penutup di mana kalimat ini dibuat sesuai fakta dan dapat digunakan sebagaimana mestinya.
Bagian ini dapat ditulis dengan singkat namun formal.
7. Tanda Tangan dan Materai
Bagian yang terakhir adalah tanda tangan dan materai.
Surat ini harus ditandatangani oleh pejabat yang berwenang dan dibubuhkan materai sebagai tanda pengesahan.
Tanda tangan dan materai ini juga menjadi bukti legalitas dan keabsahan dari surat.
Baca Juga: Surat Pengangkatan Karyawan: Pengertian, Regulasi, dan Contoh Surat yang Bisa di Download
Contoh Surat Pensiun
Untuk memudahkan Anda dalam membuat surat pensiun, berikut contoh surat pensiun yang dapat menjadi referensi untuk Anda:
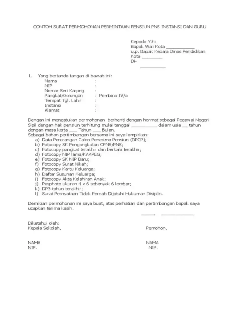
1. Contoh Surat Pensiun Guru

2. Contoh Surat Pensiun Dini Karyawan Swasta

3. Contoh Surat Pensiun Dini

4. Contoh Surat Pensiun PNS

5. Contoh Surat Pensiun Manajer

Baca Juga: PHK Akibat Mangkir: Bagaimana Aturannya?
6. Contoh Surat Pensiun Kepala Sekolah

7. Contoh Surat Pensiun PNS

8. Contoh Surat Pensiun BUMN

9. Contoh Surat Pensiun Karyawan Swasta

10. Contoh Surat Pensiun PNS

Baca Juga: Ketahui Prosedur PHK Karyawan Berdasarkan Aturan yang Berlaku
Template Surat Pensiun
Perihal : Permohonan Pensiun
Lampiran : –
Kepada Yth.
Pimpinan HRD
[Nama Perusahaan]
di Tempat
Dengan hormat,
Saya yang bertanda tangan di bawah ini:
Nama : [Nama Lengkap]
NIK : [Nomor Induk Karyawan]
Jabatan : [Jabatan]
Departemen : [Departemen]
Dengan ini mengajukan permohonan pensiun terhitung mulai tanggal [tanggal efektif], sehubungan dengan telah terpenuhinya ketentuan usia dan masa kerja sesuai dengan peraturan perusahaan yang berlaku.
Saya mengucapkan terima kasih atas kesempatan dan kepercayaan yang telah diberikan selama saya bekerja di [Nama Perusahaan]. Semoga perusahaan senantiasa berkembang dan mencapai kesuksesan.
Demikian surat ini saya sampaikan. Atas perhatian Bapak/Ibu, saya ucapkan terima kasih.
Hormat saya,
[tanda tangan]
[Nama Lengkap]
Baca Juga: Download Contoh Surat Keterangan Gaji Gratis dan Mudah
Kesimpulan
Itulah penjelasan lengkap mengenai surat pensiun yang dapat menjadi referensi untuk Anda.
Dari penjelasan artikel di atas dapat diketahui bahwa surat pensiun dibutuhkan sebagai pernyataan bahwa seorang karyawan memasuki masa pensiun.
Tentunya Anda harus membuat surat ini secara tepat agar dapat mendapatkan hak-hak yang berkaitan dengan masa purna bakti karyawan.
Untuk memudahkan perusahaan dalam memproses masa retired karyawan, penting bagi perusahaan untuk melakukan pengelolaan karyawan secara tepat.
Gunakan software absensi dari GajiHub untuk memudahkan pengelolaan karyawan di perusahaan Anda.
GajiHub merupakan software absensi yang dilengkapi berbagai fitur untuk mendukung kemudahan pengelolaan karyawan.
Yuk daftar GajiHub sekarang juga di tautan ini dan dapatkan uji coba gratis selama 14 hari.
- Daftar PTS Terbaik di Indonesia Tahun 2026 Menurut UniRank - 18 February 2026
- Rekomendasi Software Konsolidasi dan Backdate untuk Bisnis - 18 February 2026
- Self Assessment System: Pengertian dan Dasar Hukumnya - 18 February 2026